Marmara Denizi çevresindeki turumuzun ikinci ayağı; Çanakkale ve Kocaeli’ne…
YAZI:Alev KARAKARTAL, Burak ALTINOK
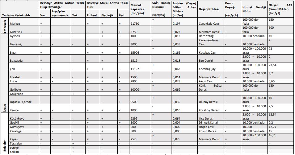
İlk olarak Marmara ile Ege denizlerine kıyısı olan, Çanakkale’deyiz. Bu ildeki mihmandarımız, meslektaşımız Damla Yeltekin. İki denizin geçiş hattındaki Çanakkale’nin iç bölgelerinde ağırlıklı olarak tarım yapılıyor, kıyı şeridinde ise turizm ve balıkçılık halkın başlıca geçim kaynakları. Sanayileşme açısından çok gelişmiş olmasa bile, Merkez ilçe, Çan, Yenice ve Biga ilçelerindeki çimento, deri ve gıda sanayi, Bayramiç’te gıda sanayi, Biga’daki deri sanayi gibi kirletici sektörlere ev sahipliği yapıyor.
Bunların büyük bölümü atık sularını kaba fiziksel arıtmayla ve bazıları da biyolojik arıtmayla arıtıyor. Çıkan su ise derelere, Ege ve Marmara Denizi’ne veriliyor. Yoğun tarım yapılan bölgelerdeki zeytinyağı imalathaneleri ve süt ürünleri tesislerinin atık suları da, kısmi tedbirler alsalar da genellikle kuru dere yataklarına ve diğer su ortamlarına boşaltıyor.
1970’in başına kadar sanayileşmesi gelişmemiş bir bölge olan Çanakkale, 1973’te “kalkınmada öncelikli iller” arasına alınınca teşvikler yoluyla sanayi yatırımlarına açılmış. Ağırlıklı olarak madencilik ve enerji sektörlerinde yoğunlaşan şirketler ve ikisi Çan’da olmak üzere beş kömürlü termik santral faaliyet gösteriyor.
Bakanlığın son olarak 2023’te yayımladığı “Çevre Durum Raporu”na göre, kent genelindeki, adalar dahil 21 atık su arıtma tesisinin ise sadece altısı ileri biyolojik arıtma yapıyor.

Faal olan iki OSB’den Biga OSB fiziksel+biyolojik arıtma yaparken Çanakkale OSB atık suyunu belediyenin kanalizasyon kanalına bağlamış. Atık suyun debisi 1000 m3/gün. Arıtılmış atıksu, Marmara Denizi’ne akan Ayıt Deresi‘ne deşarj ediliyor. Biga OSB’de İleri kademe arıtma yapılmadığı için Marmara Denizi’ne ekstra yıllık 3 bin 650 kilogram toplam azot ve 2 bin 8 kilogram toplam fosfor içeren atık su deşarj edildiği tahmin ediliyor.
Münferit sanayiye ait atıksu arıtma tesisi sayısı da şöyle:

Yeniden kullanılan atık su oranları ise hayal kırıklığı yaratacak kadar az.

Kentin evsel atıkları ve bazı tesislerin şehir kanalizasyonuna yolladığı atık sular 2014’ten bu yana belediyenin iki ileri biyolojik arıtma tesisinde arıtılarak, kıyıdan 300 metre açıkta denize veya kent içinden geçen Sarıçay’a deşarj ediliyor; az bir kısmı da bahçe ve yeşil alan sulamalarında kullanılıyor. Belediyeden aldığımız rakamlara göre; Merkez Atıksu Arıtma Tesisi’nin kapasitesi 20 bin m3/gün, Güzelyalı Tesisi ise 3 bin m3/gün arıtma yapıyor.
Ancak yoğun göç alan bir kent olan Çanakkale’ye bunların yetmeyeceğini öngörmek zor değil.

Çanakkale Su ve Kanalizasyon Müdürü Doruk Özdemir, Çevre Bakanlığı’nın 2021 müsilaj felaketinden sonra kısa sürede 86 kez tesisten numune aldığını ve hepsinden başarıyla geçmelerinin de katkısıyla enerji teşviği aldıklarını anlatıyor. Bu, finansman sıkıntısından yakınan diğer tüm belediyeler için de hayati önemde çünkü tek bir tesisin arıtım için bir aylık elektrik harcaması 1 milyon TL’den başlıyor, tesisin büyüklüğüne göre rakamlar da giderek büyüyor. Çoğu belediyenin ise bunu karşılayacak bir bütçesi bulunmuyor.
Bol Kepçe Kullanılan Tarım İlaçları Sorunu Büyütüyor
Özdemir, Çanakkale’yi ve dolayısıyla Ege ve Marmara denizlerini kirleten en önemli adres olarak deri sanayini gösteriyor ve bakanlığın kendilerine uyguladığı sıkı denetim mekanizmalarını fabrikalar ve noktasal kirleticiler ile tarımda kullanılan kimyasal gübre ve zirai ilaçlar için de kullanması gerektiğine işaret ediyor: “İl Tarım Müdürlükleri bununla ilgili çalışma yapıyor, ancak tarım yapılan alan geniş ve dağınık. Tarım yapan köylülerin ne kadar ilaç ve yer altı suyu kullandığını tespit edemiyorlar.”
Köylerden geçen akarsulara karışan atıksular ise belediyelerin değil, İl Özel İdareleri’nin yetki alanında.
18 Mart Üniversitesi Deniz Bilimleri ve Teknolojisi Fakültesi öğretim üyesi Prof. Yeşim Büyükateş de ildeki tarımsal faaliyetin etkisi konusunda Özdemir’le benzer fikirde. Denizel kirliliği yaratan en büyük sorun olarak gösterilemese de tarım ilaçlarının gelişigüzel kullanılmasının, Çanakkale gibi yoğun tarım yapılan illerde akarsulara ve dolayısıyla Marmara’ya azot, fosfor ve nitrat yığdığını ve bunun da müsilajın önemli nedenlerinden biri olduğunu söylüyor.

Ne kendilerinin ne de yetkili organların elinde ne kadar tarım ilacı ve gübre kullanıldığına ilişkin sağlıklı bir veri olduğundan yakınan Büyükateş, üniversite olarak bölgede çiftçilerle yaptıkları bilinçlendirme ve farkındalık çalışmalarının da çok verimli geçmediğini, pestisit, herbisit ve kimyasal gübre kullanımının her geçen yıl arttığını anlatıyor.
Tarım Bakanlığı’nın verilerine göre, “kayıtlı” kimyasal ilaç kullanımı geçen yıl 53 milyon 515 bin kg/lt olarak gerçekleşmiş. Ancak gerçek rakamların bunun birkaç katı olduğu ve yasaklı çok sayıda ve miktarda kimyasalın çiftçiler tarafından kayıt dışı kullanıldığı defalarca medyaya, akademik çalışmalara ve raporlara yansıdı.
Gıda Güvenliği Komisyonu Başkanı Mete Yolaş, Gıda ve Yem için Hızlı Alarm Sistemi’nin (RASFF), 2025 verilerine göre, toplam 5 bin 328 bildirimin 484’ünün Türkiye için yapıldığını söylüyor. Pestisitlere ait bildirimlere bakıldığında; Türkiye 105 bildirimle Hindistan’ın ardından dünya ikincisi. Biber, domates, nar ve limon en çok pestisit bildirimi alan ürünler. Biberdeki bildirimlerin önemli bir kısmı, yüksek toksisiteye sahip “formetanate” etken maddesine ait, ki bu etken maddenin Türkiye’de biberlerde kullanılması yasak. Pestisit bir kenara bırakılırsa, tüm verilere bakıldığında listenin başında Türkiye bulunuyor.
2021 müsilaj krizinin hemen ardından TBMM’nin oluşturduğu komisyonda danışman olarak görev yapan Büyükateş, sonrasında çıkan eylem planında tarımsal atıklara bağlı sorunlara yeterince yer verilmediğini düşünüyor.
Çanakkale Ziraat Mühendisleri Odası Başkanı Dr. Onur Sinan Türkmen’e göre, tarımda en önemli kirleticilerin başında ise bölgede yeni başlayan çeltik ekimi geliyor.

Tarım Bakanlığı’nın önümüzdeki yıl reçeteyle tarımsal ilaç vermeye başlamasını olumlu bulan Türkmen, bir an önce “kaderine terk edilen” çiftçinin desteklenmesi ve eğitilmesi gerektiğine dikkat çekiyor.
Bir önceki belediye başkanı yardımcısı, ziraat mühendisi Mehmet İrfan Mutluay’ın döneminde Marmara Eylem Planı çerçevesinde ücretsiz gübre analizi için çiftçilerle ortak bir çalışma başlatmışlar. Mutluay, kontrollü gübre kullanımı yoluyla denizin azot ve fosfor yükünü azaltmak ve bir farkındalık yaratmak istediklerini anlatıyor. Ancak daha sonra bu çalışma devam ettirilmemiş, laboratuvar da kapatılmış.

Tarım İl Müdürlüğü’nde görev yapan Ali Küçük ise Kazdağları’ndaki Çan ilçesinden çıkan Kocabaş Çayı’na dikkat çekiyor. Çan-Biga ekseninden çıkan çay, çeltik sahalarından geçtikten sonra denize ulaşıyor. Küçük, Türkiye’nin dört bir yanında olduğu gibi Çanakkale’de de en yaygın olarak Bayer firmasının ürettiği glifosat içeren RoundUp tarım ilacının kullanıldığını ve bunun çiftçiler tarafından hiçbir kısıtlama ve denetleme olmadan toprağa “bol bol” serpildiğini anlatıyor. “Glifosat”, temas ettiği çimen, yosun gibi tüm bitkileri öldüren, kanserojen bir herbisit. Türkiye’de 2020’de mahkeme kararıyla yasaklanmıştı, ancak daha sonra yapılan itirazlar, yönetmelik değişiklikleri gibi süreçlerin ardından tekrar kullanımına izin verildi.

Çanakkale ile Marmara’nın Müsilajı Farklı
Prof. Büyükateş’in saha çalışmalarının sonuçlarına ilişkin verdiği bilgilere göre, Marmara Denizi’nin müsilajı Ege’ye taşınmakla birlikte Çanakkale Boğazı’nın da kendine has bir müsilaj oluşumu var:
“Marmara’’daki müsilajı oluşturan fitoplanktonik organizmalar genellikle “dinofilagellata” grubundan. Çanakkale Boğazı’nda ise “diatom” familyası yoğun olarak görülüyor. Kirleticiler farklı olduğu için bölgesel kirlenmeler de farklı oluyor. Dolayısıyla çözüm önerileri de bölgeye özgü olmalı.”
Çanakkale açıklarında ve boğazda 2021 yılında tıpkı Marmara Denizi’nde olduğu gibi, yüzeyi 15-20 cm. kalınlığında kaplayan önemli bir müsilaj yoğunluğu görülmüştü.
ÇANAKKALE BOĞAZI’NDA MÜSİLAJ, VİDEO: PROF. DR. HERDEM ASLAN, 2021
Ancak uzmanlar bunun öncesinin de olduğunu söylüyor. Dr. Melis Küçük, boğaza yapılan derin deşarjın ardından 1989’da da önce kırmızı alg ve deniz anası patlamaları olduğunu, büyük oranda balık ölümleri yaşandığını hatırlıyor.
2021 müsilajının sebebi ise Prof. Büyükateş’e göre su sıcaklığının normalin üzerinde, 16 ila 19 derecelerde seyretmesi ve boğaz sisteminin meteorolojik koşullara bağlı olarak rüzgarların esmemesinden kaynaklı çok durgun olması: “Zaten sistemde azot fosfor miktarı kapasiteyi aşmış durumda. O dönem yoğun yağışlar da aldık ve yüzey akışıyla denize besin elementi yüklemesi oldu.”
Prof. Herdem Aslan da yaptıkları araştırmalarda 2011’den sonra bölgede deniz kestanelerinin birim hacimdeki sayısının arttığını gördüklerine değiniyor: “Çünkü yosun çok arttı. Yosun da denize arıtılmadan verilen fosfor ve azotla ‘aşırı gübrelenmesi’ nedeniyle çoğaldı.”
Bu yıl, ocak ayında Marmara Denizi ile eş zamanlı olarak Çanakkale açıklarında yüzeyin hemen altında müsilaj görüntülerine tanık olduk.
Nisan ve mayıs aylarında su yüzeyine çıkan fenomen, Saroz Körfezi’ne kadar yayıldı.
Eylül ve ekim aylarında tekrar raporlandı. Çanakkale, Marmara Bölgesi’nde ziyaret ettiğimiz diğer iller gibi sanayi yığılması ve buna bağlı aşırı kirlilikle mücadele konusunda, -yoğun yer altı suyu kullanan ve kirletici vahşi madenciliği ayrı tutarsak- “henüz” görece şanslı bir il denilebilir. Ancak bu durum her geçen yıl değişiyor.
Sınırları içinde altı büyük çay bulunuyor: Kazdağlarından doğan Menderes ve Sarıçay Çanakkale Boğazı’na; Tuzla ve Mıhlı çayları Ege Denizi’ne Kocabaş Çayı Marmara Denizi’ne; Korudağı’ndan doğan Kavak Çayı ise Saroz Körfezi’ne dökülüyor.
Etrafında madencilik tesisleri bulunan, büyük olasılıkla bu nedenle “siyaha çalan” bir renkte akan Sarıçay yatağı boyunca 2021 yılında analizler yapan ÇOMÜ Eğitim Fakültesi Coğrafya Eğitimi Anabilim Dalı Öğretim Üyesi Prof. Dr. Ahmet Evren Erginal, 26 noktadan aldıkları örneklerde kadmiyum, nikel ve kurşunda önemli miktarda “zenginleşmeye” rastladıklarını ve bunun yüksek düzeyde ekolojik risk oluşturduğunu kaydetmişti.
Çanakkaleliler ise tıpkı diğer akarsu kıyısında yaşayan topluluklar gibi, kenti ikiye bölen Sarıçay’da bir zamanlar yüzdüklerini, balık sürülerinin ve kurbağa kolonilerinin yaşadığını anlatıyor.

Çan’ın ana su kaynağı olan ve komşu ilçeler Biga ve Karabiga’nın köylerini de besleyen Kocabaş Çayı ise hem atıkların yarattığı kirlilik hem de kuraklık kıskacında.
Çan’lı meslektaşımız Muhammet Yavaş’a konuşan ve adını vermek istemeyen halk sağlığı uzmanı, rengi değişen, tabakası farklılaşan ve suyu azalan çayın hem insanlar hem de hayvanlar için risk oluşturduğu, çaydan çekilen suyla tarlalarda sulama yapılmaması gerektiğini söylüyor. Bu çay da petrol yağı, amonyak, nitrit, nitrat, tekstil boyası, zirai ilaç ve daha bir çok benzer kimyasalı Marmara Denizi’ne taşıyor.
Adalar: En az Kirleticiler Çok Etkileniyor
Yazlarının büyük bölümünü Gökçeada’da geçiren Prof. Aslan, Gökçeada Lagünü Sulak Alanı’nın “ulusal önemi haiz sulak alan” ilan edildiğini hatırlatıyor. Hem Çardak Lagünü’ne hem Umurbey’e, adada tüm hızıyla ilerleyen inşaat faaliyetinden çıkan bütün molozların döküldüğünü, buna karşın merkezi idarenin adaya “yapay bir sulak alan” yapma planı içinde olduğunu söylüyor.
Aslan’ın ilettiğine göre önemli ve endemik bir biyoçeşitliliğe sahip, Ada martısının ürediği tek yer olan Tuz Gölü çivarındaki oteller ve günübirlik işletmelerin hiç birinin arıtması yok. Kendisinin bu bölgelerde denize girmediğini, kimseye de önermediğini belirtiyor. Bozcaada’da da herhangi bir atıksu arıtması bulunmuyor. Yapılması planlanan tesisi ise Bozcaadalılar ve ekoloji aktivistleri ise “yerin yanlış seçildiği” gerekçesiyle protesto ediyor.

Aslan, her iki adanın da en büyük sorununun “vahşi çöp depolama” olduğunu belirtiyor. Gelişigüzel adaların çeşitli bölgelerine yığılan çöplerden yer altına, oradan da Ege’ye sızan bol azot ve fosforlu sular, denizdeki müsilaja katkı yapan unsurlardan. Her iki ada belediyesi modern çöp toplama tesisi için bütçeleri olmadığını söylüyor.
Adaların tıpkı ana kara gibi hem yazın turist baskısı hem de büyük kentlerden yerleşmek üzere gelenlerin yarattığı; altyapının kaldıramayacağı bir nüfus baskısı olduğunu anlatan Aslan, herhangi bir sanayi işletmesi ve çok yoğun tarımsal faaliyet olmadığı için müsilaj oluşumuna en az katkı yapan Ege adalarının Marmara’dan gelen müsilajın en çok etkilediği yerlerden biri olduğuna dikkat çekiyor: “2021’de Gökçeada’da yaptığımız çalışmada müsilajın bütün bentik canlıları akut bir şekilde öldürdüğünü bulduk. Eğer lodos olmasaydı, bütün adaların çevresini kaplayan kalın tabaka, Yunanistan sularına ulaşacaktı ve çok büyük tazminatlar ödeyecektik.”

Balıkçılar: Balığın Hiç Şansı Yok, Boğazlar Korunmalı
Çanakkale ziyaretimizde son durağımız da Sarıçay’ın boğaza açıldığı noktadaki balıkçı barınağına olacak. Küçük ölçekli avcılık yapan balıkçılar, yakında başlayacak (ağustos ayının sonunda Çanakkale’deydik) av sezonu için boya, onarım gibi hazırlıklarını yapıyorlar.

Geçen sene çok erken bir tarihte, aralık ayı sonunda av sezonunu kapatmışlar. O dönem görülen müsilaj misinalarına ve ağlarına zarar vermiş ve av takımlarının çalışmasını engellemiş. Balıkçı Hakan Ünübol, büyük zarara uğradıklarını ancak bunun için devletten pek bir destek alamadıklarını anlatıyor: “Bize sadece, o da plaka kaydı olan teknelere her yıl 5-6 bin TL. destek yapıyorlar. Başka da bir şey yok.”

Oysa bu yıl için henüz denize açılmadan yapacağı toplam masraf 50 bin TL’yi aşacakmış. Ünübol, kendinin emekli olduğu için “bir şekilde” idare ettiğini ancak yanında teknesini onaran arkadaşı Erhan Şen’in balıkçılıktan başka bir geliri olmadığını, balığın peşinde bütün Marmara’yı dolaştığını anlatıyor.
Erhan Şen de İstanbul’a kadar gitme nedenini şöyle anlatıyor: “Geçen yıl henüz kış başında burada balık ‘bitti’. Hava kış boyu çok sıcaktı. Hava ve deniz zamanında soğumadığında balık da yönünü şaşırıyor. Üzerine bir de müsilaj eklendi. Balık Marmara’da müsilaj olduğunda Çanakkale’ye inmiyor, İstanbul Boğazı’nda kalıyor. Tabii kim nerede rahat ederse orada yaşar. Biz de peşlerinden İstanbul’a gidip balığın Karadeniz’den gelmesini bekleyeceğiz.”
İstanbul ve Çanakkale boğazları balıkların göç yolu. Her yıl Karadeniz’den yola çıkan balıklar üremek için boğazlardan geçerek Ege’ye, oradan da Akdeniz’e ulaşıyor. Ancak son yıllarda suların ısınması ve kirlilik nedeniyle balıkların güneye değil Karadeniz’in doğusuna göç ettikleri, Akdeniz’den ise yukarıya doğru istilacı türlerin geçtikleri görülüyor.

Şen, Çanakkale Boğazı’nda 20 yıl önceye kadar bol bol avlanan balıkların çoğuna artık rastlamadıklarını anlatıyor. Sargoz’un %80’i yok olmuş. Karagözler’in de azaldığını, uskumrunun ise artık hiç olmadığını söylüyor.

Her ikisi de bunun nedeni olarak aşırı endüstriyel avcılığa ve onların güçlü lobilerine işaret ediyor: “Her yıl 1 Eylül’de gırgır sezonu başlar. Hepsinin reisi sezon başlar başlamaz “Bu yıl çok balık var” der. Yazın avlanmayan balık rahat etmiş, toplanmış bir yere, ama bir haftada en çok bir ayda balık biter. Nasıl oluyor? Gelişmiş, çok güçlü cihazlar, daha derine atılan ağlar yüzünden. Karadeniz’e yakın çalışıyorsam Paşabahçe Koyu’nda yatıyorum. Koyda gece sabaha kadar yirmi tane gırgır dolaşıyor. Ağ yüksekliğinin 30 metre olması lazım, 60 metre ağ atıyorlar. Balığın hiç şansı yok ki… “
Türkiye’de yaklaşık olarak 20 bin ruhsatlı tekne bulunuyor. Çanakkale Boğazı’nın %70’i de endüstriyel balıkçılığa yasak. Ancak güneyde Güzelyalı’ya, kuzeyde ise Ceyhun’a kadar… Sonrası serbest. Balıkçılar “Neden Gelibolu’ya kadar değil?” diye soruyor: “Burası balıkların geçiş yolu. Gırgırı serbest bırakırsan nereden geçecek bu hayvan? Balıkçıların ekonomik ihtiyaçlarını düşünmek lazım ama balık olmazsa balıkçılık da olmaz. Endüstriyel avlanmayı kademe kademe düşürmek, tüm boğazlarda bunu yasaklamak lazım.”
Barınaktaki Küçük Balıkçıları Koruma Derneği Başkanı Emre Turan’la da konuşuyoruz. Balıkçılık kanunlarının %100’ünün endüstriyel balıkçıların talebine göre çıkarıldığını anlatırken hak da veriyor: “Denizcilik tecrübesi en yüksek olanlar; balığın akışı, su sıcaklığı, akıntılarla ilgili ilk elden bilgi alanlar onlar. Üstelik çok daha örgütlüler…”

O da balığın olmamasından şikayetçi ve müsilajın deniz yaşamını öldürmesinin, ekosistemdeki besin zincirini kırdığının farkında. Anlattığına göre, müsilaj yüzünden av faaliyeti sekteye uğradığı için iflas edip mesleği bırakanlar da olmuş. Büyük teknelerin, bizim denizlerimizde balık kalmadığı ya da bir sorun ortaya çıktığı zamana Afrika sahillerine kadar gittiğini ancak temsil ettiği küçük balıkçıların bunu yapacak olanakları olmadığından yakınıyor.
Bir diğer şikayeti de atık su arıtmayla ilgili: “Çanakkale’de 10 yıl önceye kadar arıtma yoktu. Çimenlik Kalesi’nin içindeki merkezden atık suları borularla arıtmasız olarak boğaza verirlerdi. Bir zamanlar, ailelerimizin bulaşıklarını yıkadığı, hayvanlarını suladığı, yüzmeyi öğrendiğimiz Sarıçay’a 20 yıldır girmiyoruz, çünkü balık ölümleri görüyoruz.” Bunun için de belediyeden çok çay çevresinde sürekli inşaat yapan müteahhitleri suçluyor, kanalizasyonlarını kaçak olarak çaya verdiklerini öne sürüyor.
Sarıçay’ın tek şansı deniz suyunun içeriye girmesi, çünkü barajdan su bırakılmadıkça çayın suyu yok. Sadece arıtma suları. Biz ziyaret ettiğimizde deniz suyu çaya girdiği için kefaller de Sarıçay’da geziniyordu.
KOCAELİ

Kirletici sanayinin İstanbul’da “seyreltilmesi” girişimi ilk olarak en yakın il olan Kocaeli’ni ve özellikle İzmit Körfezi’ni etkiledi.
Marmara Bölgesi’nin yüzölçümü olarak en küçük ili olmasına karşın, doğal bir limana sahip olmasının da etkisiyle 1960’lı yılların sonlarında başlayan ve başta en kirletici sektörlerden çimento, petrokimya, boya, kimya, demir çelik olmak üzere sanayi yığılmasının sonucu geçen 50 yıl boyunca Kocaeli Türkiye’nin en kirli bölgelerinden biri haline geldi. Kent ve çevresi ciddi çevre ve sağlık sorunlarına yol açan kural tanımaz bir endüstrileşme sürecinin yaşanmasına tanık oldu. Körfeze kurulan 38 liman/iskelede yıllık yaklaşık 15 bin geminin oluşturduğu trafik de buna katkı yaptı.
Uzun yıllar boyu ötrofikasyon kaynaklı alg patlamaları ve toplu balık ölümleriyle anılan Körfez’de 2025 itibarıyla da halen bu sorunların yaşandığı medyaya sık sık yansıyor. Aşırı yük, oksijen azlığı gibi nedenlerle müsilaja en açık olan Güney Marmara’daki en kritik bölge de burası.
2024 TÜİK verilerine göre, Türkiye araç üretiminin %44’ü Kocaeli’den karşılanıyor. İlin Türkiye kimya sanayi içindeki payı %27. Metal sanayi için de bu oran aynı.
Kentte 14 OGS, iki serbest bölge, Bilişim Vadisi dahil beş teknopark, 30 Ar-Ge merkezi, 18 tasarım Merkezi, 12 küçük sanayi sitesi bulunuyor. Körfez çevresinde 2000’den fazla imalatçı firma da üretim yapıyor, bunların yarıdan fazlası ise Gebze ve Dilovası’nda.

Sanayi yığılmasının yarattığı göçten dolayı, bölgedeki diğer illerden çok daha yoğun bir nüfusa da ev sahipliği yapıyor.
Çevre Bakanlığı’nın son olarak 2023’te yayımladığı “Çevre Raporu”na göre, il topraklarından kaynaklanan ve bir kısmı Marmara Denizi bir bölümü de Karadeniz’e ulaşan 32 akarsudan hiç biri “ulaşıma, su sporlarına, su ürünleri üretim ve avcılığa elverişli değil.”
Bakanlık, endüstriyel amaçlı şebeke veya yeraltı suyu kullanan sanayideki KSUB (kuyu suyu) abonelikleri ile atıksularını kendilerinin işlettiği tesislerde arıttıktan sonra ya deniz ve akarsulardan oluşan alıcı ortamlara ya da belediye kollektörüne verdiklerini belirtiyor. Arıtmadan geçirilerek alıcı ortama bırakılan endüstriyel içerikli atıksuların giriş, çıkış ve bağlantı noktalarında 12 parametrede İSU tarafından SCADA sistemiyle izleniyor ve denetleniyor.

Buna rağmen besin elementleri; toplam fosfor, nitrat+nitrit, seki disk derinliği değerlendirmesine göre denizin ve kıyıların durumu “kırmızı”, bakanlık jargonuyla “kötü”:

2024’te kentsel atıksu arıtma tesislerinin 12’sinde ileri biyolojik arıtma yapıldığı görülüyor.
https://datawrapper.dwcdn.net/nfz8t/1/
Kocaeli Su ve Kanalizasyon Genel Müdürlüğü’nün (İSU) verilerine göre, ileri biyolojik arıtma tesisi sayısı bu yıl 21’e çıkarılmış. Biyolojik prosese sahip Körfez ve Yeniköy Atıksu Arıtma tesislerinin de ileri biyolojik atıksu arıtma tesisine dönüştürülmesi için ihale süreçleri tamamlanmış ve inşası devam ediyor. Ancak bunların ağırlıklı olarak evsel atık su olduğunu unutmamak lazım.

2023 itibarıyla 11 tane olan (2025’te 14) OSB, Serbest Bölgeler ve Sanayi Sitelerinde atıksu arıtma tesislerinin sadece üçünde ileri biyolojik arıtma yapılıyormuş.
2024 yılı verilerine göre de ildeki OSB’lerden yakın çevredeki derelere deşarj edilen arıtılmış atık suyun günlük debisi 41 bin 6 metreküp. Bunun 27 bin 950 m3’ü karbon giderimi haricinde toplam azot ve toplam fosfor giderimi yapılmadan derelere deşarj ediliyor. Yani bölgedeki OSB’lerden ekstra 102 bin 17 kg/yıl toplam azot ve 56 bin 110 kg/yıl toplam fosfor kirlilik yüklü atık su, dereler yoluyla Marmara Denizi’ne deşarj ediliyor.

Yalova’da ise OSB’lerden yakın çevredeki derelere deşarj edilen arıtılmış atık suyun günlük debisi 15 bin 393 m3. Bunlarda ileri biyolojik arıtma bulunmuyor. Klasik biyolojik arıtma yapılan atık sularla ekstra toplam azot kirlilik yükü 56 bin 185 kg/yıl ve toplam fosfor kirlilik yükü 30 bin 902 kg/yıl, dereler üzerinden Marmara Denizi’ne gönderiliyor.

Kentte toplam 1628 münferit sanayiye ait atıksu arıtma tesisi sayısı ise 318.

Kocaeli Belediye Çevre Koruma ve Kontrol Dairesi Başkanı Mesut Önem, TÜBİTAK’la ve üniversitelerle yaptıkları ortak bilimsel çalışmaları ve 2006’da yönetime geldiklerinden bu yana denizi kirletenlere kestikleri cezaları heyecanla anlatıyor, en çok da deniz uçağıyla havadan denetim yaparak “yakaladıkları ivmeden” de hoşnut. Deniz süpürgeleri, deniz bariyerleri, amfibik araçlara da sahip olduklarını da söylüyor.
2007’de o dönem ileri arıtma yapmayan Tuzla ve Gebze arıtma tesislerinin atıksularına ek olarak Körfez’in Yalova kesiminde Eskihisar-Topçular arabalı vapurlarının yarattığı kirliliğe İstanbul Boğazı’nın akıntı rejiminin de katkısıyla ilk kez güçlü bir müsilaj salgını görmüşler. Sonraki büyük kriz 2021’de. Ardından TÜBİTAK’la birlikte denizde 12 nokta ve yayılı kaynak olarak da 12 nehir belirleyip fiziksel, kimyasal, biyolojik parametrelerini incelemeye başlamışlar. Veri seti oluşturma çabası halen devam ediyor.
Atıksularını yüzde yüz biyolojik arıttıklarını, bunun yüzde 75’inin ileri biyolojik arıtma olduğunu ve ihalesi yapılmış iki tesisle bu kapasiteyi de yüzde 100’e çıkaracaklarını belirten Önem, Marmara Denizi’ne günde yaklaşık 5 milyon metre3 atık su girdiğini, bunun 450 m3’ünün yani yüzde 8’nin Kocaeli’den kaynaklandığını belirtiyor: “Biz hepsini arıtırken Marmara’ya günde 2.2.5 milyon milyon metre 3’e yakın atık su deşarjı arıtılmadan direk akıtılıyor” diye yakınıyor.

Yine de atık suyun yasal limitler çerçevesinde yüzde 20 ila yüzde 50 arasında arıtılarak denize deşarj edildiğini belirterek, her durumda denize bir yük yüklendiğini belirtmekten kendini alamıyor. Bunun için de “geri kazanım” yapmaya çalışıyorlarmış. Arıttıkları suyun yüzde 20’sini soğutma suyu olarak kullanmak üzere Körfez’deki, devlete ait en büyük petrokimya tesisi TÜPRAŞ’a satmaya başlamışlar örneğin.
Marmara çevresindeki illere göre, Kocaeli’nin olanakları oldukça geniş görülüyor. Yaşadıkları ağır kirliliğe çare bulma çabalarının ve sağlanan ilerlemenin takdire şayan olduğunu söylemek gerek. Bunda iktidar partisine mensup bir belediye başkanının olmasının etkisini merak ediyoruz. Zira diğer kıyı belediyeleri ağırlıklı olarak şu sıralar ağır baskı altında olan ana muhalefet partisi CHP’de ve hemen hepsi de finansman yetersizliğinden, merkezi yönetimden yeterince destek alamamaktan hatta köstek olunmasından şikayetçi.

Örneğin Önem ve arkadaşları bakanlığı “ikna ederek” 2012’de gırgırla avcılığını yasak olduğu bölgeleri genişlemişler. Ancak Körfez’in tamamında ticari avcılığının yasaklanması gerektiğini söylüyor. Ya da dip temizliği için bir çamuru arıtma tesisi yapmak üzere yine bakanlıkla ortak proje başlatmışlar. Norveç’in Bergen kentinde gördüğü hareketli deniz sensörlerini, bakanlıkla konuşup TÜBİTAK’la yürüttükleri proje için alıp kullanmaya başlamışlar.
Dilovası Hâlâ “Afet” Bölgesi
Dilovası ilçesi ve Dilderesi ise bambaşka bir resim veriyor. Daire Başkanı Önem, bölgeyle ilgili sorularımızı yanıtlamaktan kaçınıyor; yetkinin ve sorumluluğun Çevre Bakanlığı ile Devlet Su İşleri’nde (DSİ) olduğunu söylüyor.
2007 yılında Meclis Araştırma Komisyonu’nun Dilovası’ndaki sanayileşmenin çevreye etkileri açısından hazırladığı raporda, bölgenin “afet bölgesi” olarak ilan edilmesi tavsiyesinde bulunulmuştu.
2019’da meslektaşlarımız Zeynep Şentek ve Craig Shaw, Black Sea için hazırladıkları araştırma dosyasında, bunun yerine devletin sanayi bölgelerinin sayısını çarpıcı ölçüde artırarak ve bölgedeki çoğu yabancı sermayeye ait şirketlere teşvikler sunarak, Kocaeli’deki sanayileşmenin önüne geçmek yerine onu desteklediğini gözler önüne seriyor.
1987’de belediye statüsü aldıktan sonra 2002 yılında kurulan Dilovası OSB’yi izleyen diğer sanayi kuruluşları, tıpkı Bursa’da olduğu gibi başlangıçta yasalara aykırı biçimde kurulup yayıldıkları vadiyi bugün neredeyse çepeçevre sarmış durumda. Evlerle yaşam alanlarıyla iç içe olan sanayi kuruluşlarının yarattığı kirlilik yüzünden halkın önemli bölümü, çocuklar da dahil olmak üzere astım, KOAH, kronik bronşit gibi önemli solunum yolu rahatsızlıkları ve kanser gibi akciğer hastalıklarından muzdarip.

Black Sea ekibi, çalışmaları için Dilderesi’nden numune de alıp analiz ettirmiş. Alınan numunelerin Türkiye’deki yönetmeliklerde kabul edilebilir eşikten katbekat yüksek seviyelerde kirletici maddeler içerdiği ortaya çıkmış: “Cıva, yönetmeliklerin izin verdiği miktardan 30 kat fazlaydı, nitrit ve fosfor ise 50 kat; demir, limiti yaklaşık 15 kat aşıyordu; mangan dört kat, nikel ise iki kat fazlaydı. Laboratuvarının adının raporda belirtilmemesini isteyen profesör, ırmak suyunun “4. derece düzeyinde” yani olabilecek en kötü kirlilik seviyesinde olduğunu söyledi.”
Ayrıca suda amonyum ve alüminyum da yüksek seviyelerde saptanmış. Meslek örgütlerinin ve halkın açtığı çok sayıda davayı kazanmalarına rağmen, durum bugün de pek değişmiş görünmüyor.
Biz ziyaret ettiğimizde, bir kanal haline gelmiş derenin her iki yanında kilometrelerce uzanan birçok fabrika, hemen altlarındaki pek çok deşarj borusundan atık su bırakıyor, derenin debisi bir düşüp bir artıyordu. Bu noktalardaki köpüklenme ve burnumuza yapışmış gibi olan yoğun koku ise Bursa’daki Nilüfer Deresi’ni aratmayacak kadar keskindi.

Bize bölgede mihmandarlık eden meslektaşımız, Dilovası Haber’i çıkaran gazeteci Ali Tahir Kaya geceleri deşarjın arttığını ve gündüz gözüyle “salamayacakları” ağır atıkları gece suya verdiklerini öne sürüyor.
Prof. Mustafa Sarı da Dilderesi’yle ilgili şu yorumu yapıyor: “O yerlerin neresi olduğunu hepimiz biliyoruz. Onu denetleyecek olanlar da biliyorlar. Kimin kirlettiğini biliyoruz. Nasıl kirlettiğini biliyoruz. Hangi yasayı ihlal ettiğini biliyoruz. Hangi yaptırımları uygulamamız gerektiğini biliyoruz. Ama bu açık sır olarak kalmaya devam ediyor. Yani müsilaj hepimizin kusurlarını, ayıplarını şu anda yüzüne vuruyor. Hepimiz ne kadar riyakarız. Hepimiz ne kadar yalan söylüyoruz.”
Kaya, bizi insanın girmesi çok zor, ormanlık alandaki noktalara da götürüyor. Tepede vadideki şirketlerin enerji ihtiyacını karşılayan ve birçok kömür işletme tesisinden oluşan Kömürcüler OSB yer alıyor. Onun atık suları da dereye karışıp Körfez’e akıyor. Simsiyah su akan çok sayıda deşarj noktasını görüntüleyerek daha yukarılara, derenin kaynağına doğru önümüzdeki engelleri aşa aşa yürüyoruz.
Dilderesi’nin kaynağında, Ballıkayalar’daki manzara ise bambaşka. Kaynağa yakın yerlerde balıklar suda cirit atıyor, insanlar çevresinde piknik yapıyor ve su tertemiz. Şehir merkezindeki ağır hava kirliliği ise yerini bol oksijenli bir havaya ve kuş şakımalarına bırakmış.

Dönerken, yol üzerindeki köylerde yaşayan köylülerle konuşuyoruz. Evlerle, yaşam alanlarıyla iç içe kurulan, havalarını, sularını kirleten, insanların başta solunum yolları hastalıkları ve kansere yakalanmasına neden olan, hayvanlarını öldüren kirletici fabrikalara ve şirketlere karşı defalarca dava açtıklarını, günlerce süren eylemler yaptıklarını anlatıyorlar. Ama çok azından sonuç alabilmişler ve ağır kirlilik saçan fabrikalardan şimdiye dek kapatılan bir tane bile yok. Aksine halen ağzına kadar dolmuş bölgeye yeni sanayi bölgeleri açılmaya çalışılıyor.
Mimar Sinan (Iğdırlılar) köyünden Aynur Yıldırım, kendisinin de çocuklarının da astım hastası olduğunu ve birkaç haftada bir boğaz enfeksiyonu geçirdiklerini anlatıyor. 20 yıldır Dilovası’nda yaşıyorlarmış. 20 yıl öncesinde tarım ve hayvancılık yaptıkları yaşam alanlarının şimdi sanayi kirliliğinin ortasında kaldığından yakınıyor.

Yaşadıkları bölge, Dil Deresi’ne en yakın mahalle. Güldane Yıldırım da hafta sonları ve geceleri dereye kaçak atık su bırakıldığını söylüyor. “Bu zamanlarda denetim olmadığını biliyorlar. Normalde biraz daha temiz görünen dere, hafta sonu ve geceleri simsiyah akıyor, kokudan duramıyoruz, camlarımızı açamıyoruz. Kaynaktan çıkan su, fabrikalara yanaştığı andan itibaren sorun başlıyor. Rüzgar kıble yönünden bizim tarafa estiği anda nefes alamıyoruz. Sineği ayrı, kokusu ayrı, belediye tarıma zarar veriyor diye ilaçlamayı da bıraktı.”

1989’dan beri 25-30 haneden oluşan köyde yaşayan Güldane Yıldırım, 20 yıl öncesini de şöyle tanımlıyor: “Babalarımız ağ atarak bol balık tutardı bu derede. Büyük kardeşlerimiz yüzerdi, banyo yapardı. Dere civarında sebze-meyve bahçelerimiz vardı. Dereden sulardık. Ben haftada bir çuval fasulye aldığımı biliyorum. Artık burada bitki bile yetişmiyor. Domates olgunlaşmıyor. Düşün yani.”
Ne kendisi ne de ailesi hayvanlarını ahırlardan dışarıya bırakmıyormuş, çünkü hastalanıyor ve ölüyorlarmış. Hayvanları muayene eden veteriner aileye kirli sudan su içtikleri ve bu sudan beslenen otları yediklerini için böyle olduğunu söylemiş. İlkbaharda dışarıya bıraktıkları bir buzağısı altı aydır ilaç kullanmasına rağmen iyileşemiyormuş, bundan dert yanıyor.
Türkiye sanayisinin yüzde 45’nin bölgeye yığıldığını anlatan İsmet Yıldırım da, yazları yeterli yağış almadığı için kuruyan derenin, simsiyah akmaya başladığını belirtiyor. Ağabeyinin 4-5 koyunu, komşusunun keçileri ölmüş bu yıl. “Sudan içen kuşlar bile telef oluyor” diye konuşuyor.

Cihangir Yıldırım ise bütün kirliliğine karşı zaman zaman dereden tarımsal arazileri için sulama yapmak zorunda olduklarını söylüyor. Normalde daha yukarıdan gelen kaynak suyunu kullanıyorlarmış, ama “Orada su bittiğinde ya da mekanizma arıza yaptığında mecburen dereden alıyoruz” diyor. Onun da beş koyunu ölmüş bu yaz. Dereyle temasları olduğunda kendileri de hastalanıyormuş, boğazları yanıyor, suya değen bölgeleri alerjik reaksiyon veriyormuş.

Pek çok kuruma durumu bildirseler de bir sonuç alamadıklarını anlatıyorlar. Hem yukarıdaki inşa edilmeye başlanan yeni deponun hem de Körfezin karşı tarafındaki ormanlık alanda yeni tesislerin inşaatının devam ettiğini, CİMER’e şikayet ettiklerini ancak jandarmanın gelip 5-10 dakika konuştuktan sonra gittiğini ve inşaatın sürdüğünü belirtiyor.
Ekoloji ve Sağlık Derneği (EKOSDER) Başkanı İsmail Sami de bölgedeki tüm kirliliğin denize aktığından yakınıyor: “Dilovası’nda yedi tane Organize Sanayi Bölgesi oldu. Dilderesi’nde hep sıkıntı vardı ama Eynerce deresi biraz daha temizdi önceden. Son zamanlarda oradan da kokular yükselmeye, renk değişimleri yaşanmaya başladı. Çünkü yukarıdaki OSB, atık sularını Eynerce’ye veriyor. Hafta sonları, hele de biraz yağmur yağarsa derenin neredeyse yarısı hep pis su. Böyle vallahi simsiyah, hepsi denize gidiyor. Deniz, bizim denizimiz. Bir de 20 yıldır ormanlarımız talan edilmeye başlandı. Su kaynağı oraları. Ne olacak böyle bilmiyoruz.”
Mesut Önem’in dip çamuru temizleme ve sintine bırakan gemileri ısrarlı takip ve cezalandırma faaliyetlerini öven Sami, Gebze’ye bağlı Tuzla Deri Sanayi’nin atıklarının da bölgeye taşınacağını duyduklarını, buna karşı harekete geçmek için hazırlık yaptıklarını anlatıyor.
Beşinci Bölüm: MARMARA DENİZİ’NDE KIRMIZI PAZARTESİ-5/ 40 yıllık kırım: Trakya-Ergene zehir devridaimi
Bu araştırma JournalismFund Europe’un desteğiyle hazırlanmıştır.
Bu çalışma ilk kez aposto’da yayımlanmıştır.
Seride yer alan diğer haberler şu şekilde:
Marmara Denizi’nde Kırmızı Pazartesi-1 / Unutulan Müsilaj Derinlerden Sesleniyor
Marmara Denizi’nde Kırmızı Pazartesi-2 / Sahaya Çıkan Bilim İnsanları Anlatıyor: 4 Yıl Sonra Deniz Bize Ne Söylüyor?
Marmara Denizi’nde Kırmızı Pazartesi -3 / Denizini Yitiren Deniz Kentleri: Balıkesir, Bandırma, Bursa
Marmara Denizi’nde Kırmızı Pazartesi-5 / 40 Yıllık Kırım: Trakya-Ergene Zehir Devridaimi
Marmara Denizi’nde Kırmızı Pazartesi-6/ Hikayenin Başlangıç Noktası: İstanbul
Marmara Denizi’nde Kırmızı Pazartesi -7/ Planlar, Kurumlar, Kurullar Neden İşlemiyor?
Marmara Denizi’nde Kırmızı Pazartesi-8 / Çözüm Nasıl, Nerede?


